Concrete Stairs Calculator
| CFT | CBM | Cubic Yard |
|---|---|---|
| – | – | – |
Concrete Stairs Calculator
A Concrete Stairs Calculator helps you estimate the amount of concrete required to build a staircase. Whether you are working on a residential building, commercial structure, or renovation project, calculating the correct concrete volume is important to avoid material waste and extra costs.
With this calculator, you can quickly determine the total concrete volume for stairs in cubic feet (CFT), cubic meters (CBM), and cubic yards. Instead of performing complex manual calculations, you only need to enter a few measurements such as the number of steps, tread run, riser height, stair width, and throat depth.
This tool is designed for builders, contractors, engineers, architects, and DIY homeowners who want a quick and accurate estimate of concrete needed for staircase construction.
Why Use a Concrete Stairs Calculator?
Concrete stairs are commonly used in many buildings because they are strong, durable, and long-lasting. However, calculating the amount of concrete required for stairs is not as simple as calculating a rectangular slab. Staircases have a unique triangular structure, which makes manual calculations more complicated.
A concrete stairs calculator simplifies this process by automatically applying the correct formulas to determine the total concrete volume.
Benefits of using this tool include:
- Faster construction planning
- Accurate material estimation
- Reduced concrete wastage
- Better project budgeting
- Easy unit conversion between CFT, CBM, and cubic yards
Instead of spending time on manual formulas, you can get instant results with just a few inputs.
How to Use the Concrete Stairs Calculator
Using the calculator is simple and requires only a few measurements.
Step 1: Select the Unit
Choose the measurement unit you want to use for the calculation. The calculator supports multiple units including feet, inches, meters, and yards.
Step 2: Enter the Number of Steps
Input the total number of steps in your staircase. Each step contributes to the total stair volume.
Step 3: Enter the Tread Run
The tread run is the horizontal depth of each step. This measurement determines how far each step extends forward.
Step 4: Enter the Riser Height
The riser height is the vertical distance between two consecutive steps. This measurement affects the total stair height.
Step 5: Enter Stair Width
Stair width refers to the total width of the staircase. Wider stairs require more concrete.
Step 6: Enter Throat Depth
Throat depth is the thickness of the concrete stair body. This dimension is essential for calculating the structural volume of the staircase.
Step 7: Add Waste Percentage
Construction projects usually include a small percentage of extra concrete to account for waste or spillage. A common value is around 5% to 10%.
Step 8: Click Calculate
Once all the inputs are entered, click the Calculate button to instantly see the concrete volume required for the staircase.
The calculator will display results in:
- Cubic Feet (CFT)
- Cubic Meters (CBM)
- Cubic Yards
Formula Used in the Concrete Stairs Calculation
Concrete stair calculations are based on geometric formulas that consider the triangular shape of each step and the structural body of the staircase.
Step triangular area:
A_{step} = \frac{t \times r}{2}
Where:
- t = tread run
- r = riser height
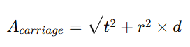
Carriage area of the stair body:

Where:
- d = throat depth
Total stair volume: V=n×(Astep+Acarriage)×W
Where:
- n = number of steps
- W = stair width
After calculating the volume, the result is converted into different units such as cubic feet, cubic meters, and cubic yards.
Example Stair Concrete Calculation
Suppose you have the following staircase measurements:
- Number of steps: 12
- Tread run: 1 ft
- Riser height: 0.6 ft
- Stair width: 4 ft
- Throat depth: 0.5 ft
Using the calculator, you can quickly determine the total concrete required for the staircase and convert the result into different measurement units.
This allows contractors and builders to estimate the correct amount of concrete before starting construction.
Where Concrete Stair Calculations Are Used
Concrete stair volume estimation is commonly used in many construction scenarios such as:
- Residential houses
- Commercial buildings
- Apartment complexes
- Public infrastructure projects
- Industrial facilities
Accurate stair concrete estimation helps ensure that the correct amount of material is ordered and used efficiently.
Read here Complete article calculate concrete for stairs
Tips for Accurate Stair Calculations
To get the most accurate results from the calculator, keep these tips in mind:
- Always measure the stair dimensions carefully before entering them into the calculator.
- Include a small waste percentage to account for spillage and uneven surfaces.
- Use consistent units throughout the calculation process.
- Double-check the number of steps and dimensions before calculating.
These small steps can help improve the accuracy of the final concrete estimate.
Try the Concrete Stairs Calculator
If you are planning to build or estimate a staircase, the Concrete Stairs Calculator can save time and simplify your calculations. Just enter your stair measurements and instantly get the total concrete volume required.
This tool is part of the growing collection of construction calculators available on CFT Calculator designed to help builders and homeowners make better construction decisions.
Use More Calculators
Frequently Asked Questions (FAQs)
How do you calculate concrete for stairs?
Concrete for stairs is calculated by measuring the tread run, riser height, stair width, and throat depth. Each step forms a triangular section, and the total stair concrete volume is obtained by multiplying the combined stair area by the width of the staircase.
What is the standard size of a concrete stair step?
A typical residential stair step usually has:
Tread depth: 10–11 inches
Riser height: 7–8 inches
However, these dimensions may vary depending on building codes and design requirements.
Should I add extra concrete for waste?
Yes. Most construction projects include 5% to 10% extra concrete to account for waste, spillage, and uneven surfaces during pouring.
Which unit is best for measuring concrete volume?
Concrete volume is usually measured in:
Cubic Feet (CFT)
Cubic Meters (m³)
Cubic Yards
Builders in the US often use cubic yards, while many construction projects worldwide use cubic meters.
Why is throat depth important in stair concrete calculation?
Throat depth represents the minimum thickness of the concrete body under the staircase. It ensures the staircase has enough structural strength and directly affects the total concrete volume required.
